Introduction: Patients with Myeloproliferative neoplasms (MPN) require cytoreduction to normalise the elevated counts to reduce risk of thrombosis. We present real world data from a single centre in the UK on PEG-IFN in patients with MPN.
Methods: Real World prospective data collection of patients who were commenced on PEGIFN between Jan 2014 to July 2022. Patient demographics, indications to treat, dose and response rates at quarterly follow up in year 1 and biannually from year 2 onwards, thrombotic events, transformation, discontinuation rate and adverse events were collected and presented here. Starting dose of PEG IFN was 45 mg/2 weeks; it was increased gradually to a maximum of 180 mg/week. Once complete response (CR) according to ELN criteria was achieved dose was reduced to minimum effective dose.
Results: This study accrued 212 patients with MPN who commenced PEGIFN from Jan 2014 to July 2022. Median duration of follow up was 60 m (range 12 - 114 m); 92 males, 120 Females; 93 patients were diagnosed to have Polycythaemia Vera PV), 98 Essential Thrombocythemia (ET) and 21 had Myelofibrosis (MF). 154 patients had mutated JAK2, 41 CAL-R (type 1 in 25 and type 2 in 16), 3 MPL and 13 were negative for any mutations.
PEG IFN was chosen as first line treatment in 89 patients and at subsequent line after Hydroxycarbamide (intolerant n=, ineffective n= or contraindicated n= due to ulcers) or phlebotomy in 123 patients.
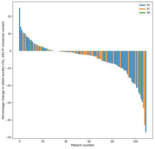
Complete Haematological response according to ELN criteria were achieved and sustained in 141 (66%) at a median of 6 m (range: 3 to 60), Partial response in 52 (24%) and no response in 15 (7%) patients. Molecular response was assessed in JAK2 mutated patients (n=153) and shown in figures 1 and 2 with respect to diagnosis and response rate. Complete molecular response was seen in 4 patients at a median of 58 m.
Deeper sustained responses were associated with earlier use of PEG-IFN in the course of disease, younger patients as first line as compared to it being used at second or subsequent line (74% Vs 63%) .
PEG IFN was discontinued in 36 patients at 6 to 18 m due to being ineffective in 7, intolerant in 18, unrelated causes in 10 and disease progression/transformation in 3 patients (1 AML 2 MF). Thrombotic events whilst on PEG-IFN were seen in 14 patients (11 arterial and 3 venous) unrelated to control of blood counts, 12 were JAK2+ MPN and 10 patients had PV.
Adverse events such as hypothyroidism in 8 (3.7%), grade 1-2 hepatitis in 46 (21.6%), grade 3 hepatitis in 4 (1.8%), alopecia in 2, skin rash in 3, worsening of psoriasis in 2 patients were managed with reduction or temporary suspension of PEG IFN and recommencing at a lower dose and frequency. 29 patients had underlying depression and 22 were stable on anti-depressants, 4 patients came off interferon due to panic attacks. 5 patients developed second primary malignancy on PEG IFN.
Conclusion: PEG-IFN is a safe and effective cytoreductive agent in all myeloproliferative neoplasms and is an alternative to Hydroxycarbamide, as a second line option in older patients and a first line option in younger patients. It corrects the elevated counts but also modifies the disease course as evident in JAK2 VAF reduction and sustained haematological responses and reduced risk of thrombosis and transformation. In addition, it is least restrictive in terms of quality of life such as family and holiday planning.
Figure 1: Waterfall plot: JAK2 allele burden percentage change on Peg-IFN, each bar represents the % change in allele burden for one patient, and ranked
Figure 2: Fall in JAK2 VAF with respect to type of Haematological Response
Disclosures
Garg:Janssen: Consultancy, Honoraria, Other: Ad board, research support, Speakers Bureau; Takeda: Consultancy, Honoraria, Other: Ad board, travel support; Novartis: Consultancy, Honoraria, Other: Ad board, travel support; Amgen: Consultancy, Honoraria, Membership on an entity's Board of Directors or advisory committees, Speakers Bureau; BMS: Consultancy, Honoraria; GSK: Consultancy, Honoraria; Sanofi: Membership on an entity's Board of Directors or advisory committees; Alnylam: Honoraria; Celgene: Other: Ad board; Stemline therapeutics Janssen: Other: Ad board.
